Search Result

Search Result

Input Parameter NameParameter Value(s)
# Reactions1
Ion TypeNeutral
Query Mass414.1859492 Da
Neutral Mass414.185949 Da
Mass Tolerance±15 ppm



#HMDB IDCommon NameMass (Da) Formula Chemical Structure Explore
(for Firefox)
Possible Reactions Reaction
Offset (Da)
Mass Error (ppm)To DelAttachments
1 HMDB01244 15-Keto-13,14-dihydroprostaglandin A2 334.21441 C20H30O4 Structure ChemDraw Pro

ChemDraw Plugin
[+HPO3]79.966333012.569717
2 HMDB02710 Prostaglandin J2 334.21441 C20H30O4 Structure ChemDraw Pro

ChemDraw Plugin
[+HPO3]79.966333012.569717
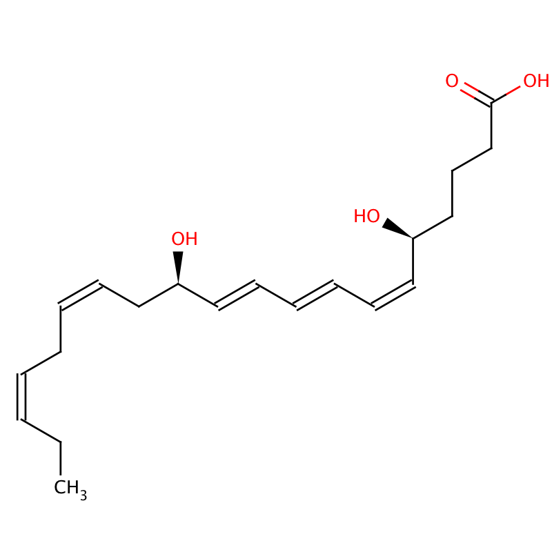
3 HMDB02752 Prostaglandin A2 334.21441 C20H30O4 Structure ChemDraw Pro

ChemDraw Plugin
[+HPO3]79.966333012.569717
4 HMDB04234 12-Keto-leukotriene B4 334.21441 C20H30O4 Structure ChemDraw Pro

ChemDraw Plugin
[+HPO3]79.966333012.569717
5 HMDB04236 Prostaglandin B2 334.21441 C20H30O4 Structure ChemDraw Pro

ChemDraw Plugin
[+HPO3]79.966333012.569717
6 HMDB04238 Delta-12-Prostaglandin J2 334.21441 C20H30O4 Structure ChemDraw Pro

ChemDraw Plugin
[+HPO3]79.966333012.569717
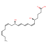
7 HMDB05073 Leukotriene B5 334.21441 C20H30O4 Structure ChemDraw Pro

ChemDraw Plugin
[+HPO3]79.966333012.569717
8 HMDB00670 Homo-L-arginine 188.127326 C7H16N4O2 Structure ChemDraw Pro

ChemDraw Plugin
[+C9H10N2O5]226.058973-0.844548
9 HMDB00679 Homocitrulline 189.111342 C7H15N3O3 Structure ChemDraw Pro

ChemDraw Plugin
[+C9H11N3O4]225.074957-0.844548
10 HMDB04224 N-(o)-Hydroxyarginine 190.106591 C6H14N4O3 Structure ChemDraw Pro

ChemDraw Plugin
[+C10H12N2O4]224.079708-0.844548
11 HMDB04095 5-Methoxytryptamine 190.110613 C11H14N2O Structure ChemDraw Pro

ChemDraw Plugin
[+C10H12N2O4]224.079708-10.555163
12 HMDB04369 N-Methylserotonin 190.110613 C11H14N2O Structure ChemDraw Pro

ChemDraw Plugin
[+C10H12N2O4]224.079708-10.555163
13 HMDB05973 Dimethyltryptamine 188.131348 C12H16N2 Structure ChemDraw Pro

ChemDraw Plugin
[+C9H10N2O5]226.058973-10.555163


  • "Save Attachments" is not available for IE