Search Result

Search Result

Input Parameter NameParameter Value(s)
# Reactions1
Ion TypeNeutral
Query Mass240.2068 Da
Neutral Mass240.206800 Da
Mass ToleranceDefault: ±0.005 Da



#HMDB IDCommon NameMass (Da) Formula Chemical Structure Explore
(for Firefox)
Possible Reactions Reaction
Offset (Da)
Mass Error (Da)To DelAttachments
1 HMDB00499 5-Tetradecenoic acid 226.19328 C14H26O2 Structure ChemDraw Pro

ChemDraw Plugin
[+CH2]14.0156500-0.002130
2 HMDB00521 5Z-Tetradecenoic acid 226.19328 C14H26O2 Structure ChemDraw Pro

ChemDraw Plugin
[+CH2]14.0156500-0.002130
3 HMDB02000 Myristoleic acid 226.19328 C14H26O2 Structure ChemDraw Pro

ChemDraw Plugin
[+CH2]14.0156500-0.002130
4 HMDB05051 Tsuzuic acid 226.19328 C14H26O2 Structure ChemDraw Pro

ChemDraw Plugin
[+CH2]14.0156500-0.002130
5 HMDB10732 trans-Tetra-dec-2-enoic acid 226.19328 C14H26O2 Structure ChemDraw Pro

ChemDraw Plugin
[+CH2]14.0156500-0.002130
6 HMDB00826 Pentadecanoic acid 242.22458 C15H30O2 Structure ChemDraw Pro

ChemDraw Plugin
[-H2]-2.01565000-0.002130
7 HMDB02186 Hypogeic acid 254.22458 C16H30O2 Structure ChemDraw Pro

ChemDraw Plugin
[-CH2]-14.0156500-0.002130
8 HMDB03229 Palmitoleic acid 254.22458 C16H30O2 Structure ChemDraw Pro

ChemDraw Plugin
[-CH2]-14.0156500-0.002130
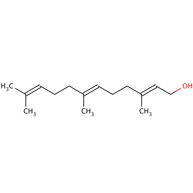
9 HMDB04305 Farnesol 222.198365 C15H26O Structure ChemDraw Pro

ChemDraw Plugin
[+H2O]18.0105650-0.002130
10 HMDB10735 Trans-Hexa-dec-2-enoic acid 254.22458 C16H30O2 Structure ChemDraw Pro

ChemDraw Plugin
[-CH2]-14.0156500-0.002130
11 HMDB12328 Palmitelaidic acid 254.22458 C16H30O2 Structure ChemDraw Pro

ChemDraw Plugin
[-CH2]-14.0156500-0.002130


  • "Save Attachments" is not available for IE